728x90
이진트리란 무엇인가?
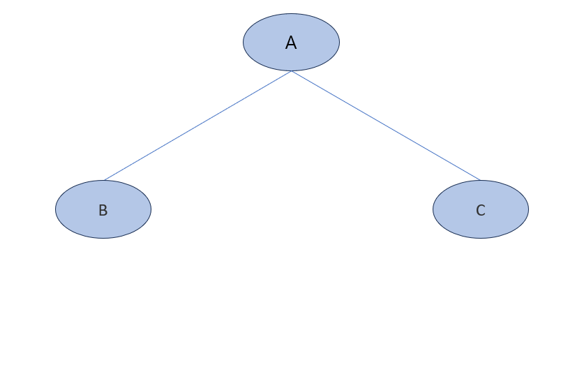
이진 트리는 각각의 노드에 최대 두 개의 자식 노드를 갖는 트리 형태의 자료 구조다.
이 때 두 자식 노드는 왼쪽 자식 노드와 오른쪽 자식 노드로 구분한다.
이진 트리의 최상위 노드를 루트 노드(Root node)라고 한다.

이진 트리의 특징
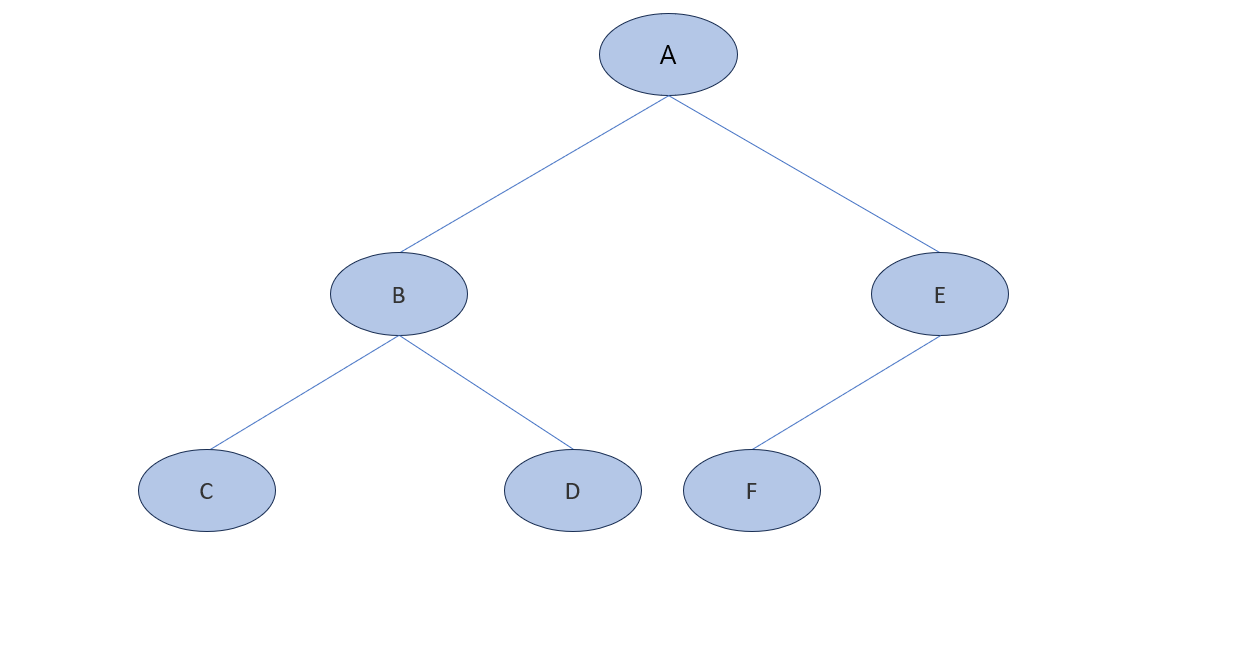
1. 각 노드는 최대 두 개의 자식 노드를 가질 수 있다.

2. 이진 트리는 재귀적(Recursive)인 특징이 있으며 이는 각각의 서브트리 역시 이진 트리의 성질을 띤다.

3. 높이가 h인 이진트리가 가질 수 있는 노드의 최소 갯수는 h개이다.

4. 높이가 h인 이진트리가 가질 수 있는 노드의 최대 갯수는 2^h - 1개 이다.

이진트리의 종류
1.완전 이진트리(Complete Binary Tree)
완전 이진트리는 모든 레벨이 꽉 차 있고 마지막 레벨만은 오른쪽부터 차례대로 비어있을 수 있는 이진트리를 말한다.

2. 포화 이진트리(Full Binary Tree or Strictly Binary Tree)
모든 노드가 0개 혹은 2개의 자식 노드를 가진 이진 트리다.
즉, 자식 노드가 하나만 있는 노드는 없다.

3. 기타 이진트리
위 두가지 특성을 제외하고 이진트리의 성질을 만족한다면 기타 이진트리라고 한다.
이진트리의 탐색
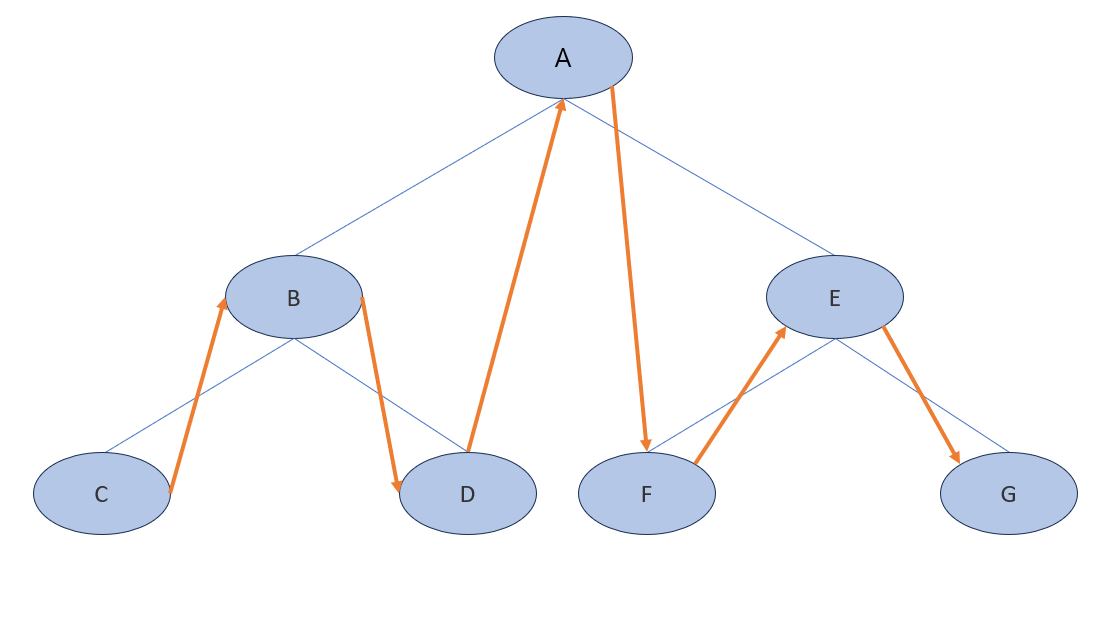
1. 전위 순회(Preorder Traversal) : 루트 -> 왼쪽 -> 오른쪽 순으로 탐색한다.

2. 중위 순회(Inorder Traversal) : 왼쪽 -> 루트 -> 오른쪽 순으로 탐색한다.

3. 후위 순회(Postorder Traversal) : 왼쪽 > 오른 쪽 -> 루트 순으로 탐색한다.

728x90
'Understanding CS' 카테고리의 다른 글
| CLI 용어 기초 정리 (0) | 2022.12.28 |
|---|